• Предмет: Математика
  • Автор: Luckyboy4
  • Вопрос задан 8 лет назад

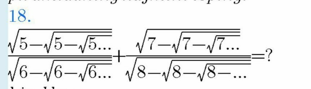
помогите решить пожалуйста

Приложения:

Ответы

Ответ дал: igorShap
0

..........................

Приложения:
Вас заинтересует