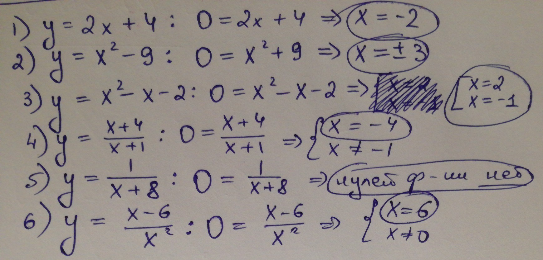
Найдите нули функции
1)y=2x-4
2)y= x в квадрате минус 9
3)y=икс в квадрате минус икс и минус 2
4) y= x+4/x-1
5)y= 1 деленное на x+8
6) y= x-6/ икс квадрат
Ответы
Ответ дал:
0
Смотрите ответ на фотографии
Приложения:

Ответ дал:
0
Можете написать пожалуйста
Ответ дал:
0
личные контакты не даю
Ответ дал:
0
Хорошо можете пожалуйста написать мне тут
Ответ дал:
0
Просто пишут что нужно ответить на больше вопросов
Ответ дал:
0
Просто не получается написать пишет нужно ответить на больше вопросов
Вас заинтересует
2 года назад
2 года назад
3 года назад
3 года назад
9 лет назад
9 лет назад
9 лет назад