• Предмет: Алгебра
  • Автор: svinka3
  • Вопрос задан 8 лет назад

задание на листочке........

Приложения:

Ответы

Ответ дал: Света19999
0
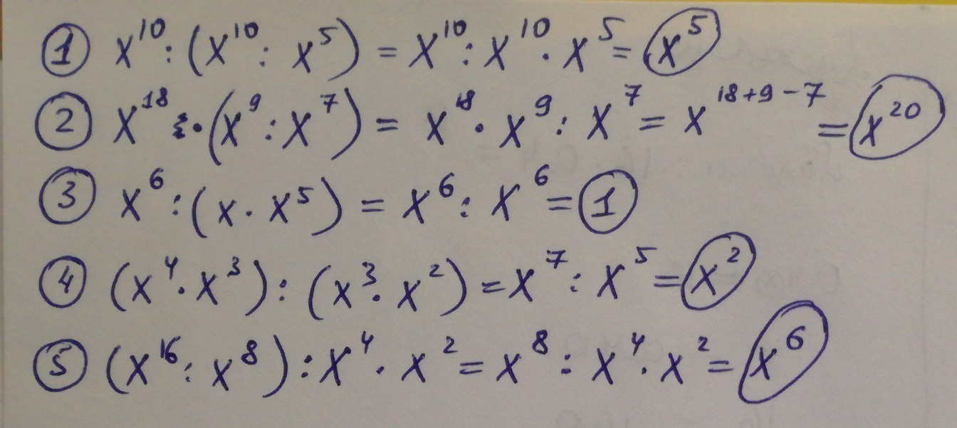
Смотрите ответ на фотографии
Приложения:
Ответ дал: ssuper99999
0
 x^{10}:(x^{10}:x^5)=x^{10}:x^{5}=x^{5}

 x^{18}*(x^9:x^7)=x^{18}*x^2=x^{20}

 x^6:(x*x^5)=x^6:x^6=1

 (x^4*x^3):(x^3*x^2)=x^7:x^5=x^2

 (x^{16}:x^{8}) :x^4*x^2=x^4*x^2=x^{6}

Используя эти формулы:
 x^4*x^3=x^{4+3}=x^7
x^{10}:x^5=x^{10-5}=x^5
Приложения:
Вас заинтересует