Ответы
Ответ дал:
0
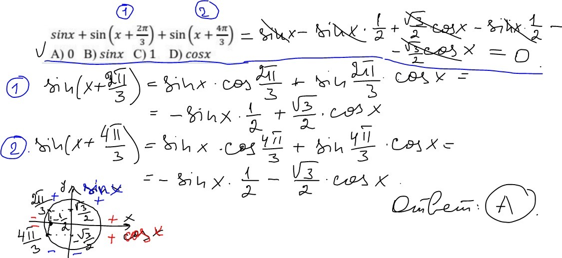
Должно быть так, т.е ответ под номером «А»
Приложения:

Ответ дал:
0
сверху записано решение
ниже разъяснение
на графике даны значения и знаки синуса и косинуса
Приложения:

Вас заинтересует
2 года назад
3 года назад
3 года назад
9 лет назад
9 лет назад