• Предмет: Математика
  • Автор: polinaaaaa42
  • Вопрос задан 8 лет назад

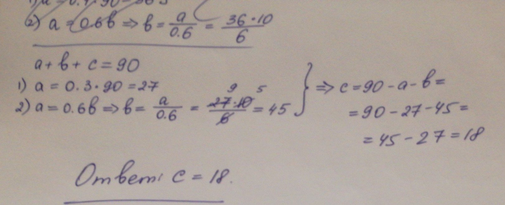
сумма трех слогаемых равна 90. первое число равно $0% их суммы и составляет 60% второго числа. Найди третье число

Ответы

Ответ дал: Света19999
0
Смотрите ответ на фотографии
Приложения:
Вас заинтересует