Ответы
Ответ дал:
0
Решение от ERASER55 ( eraser55 )
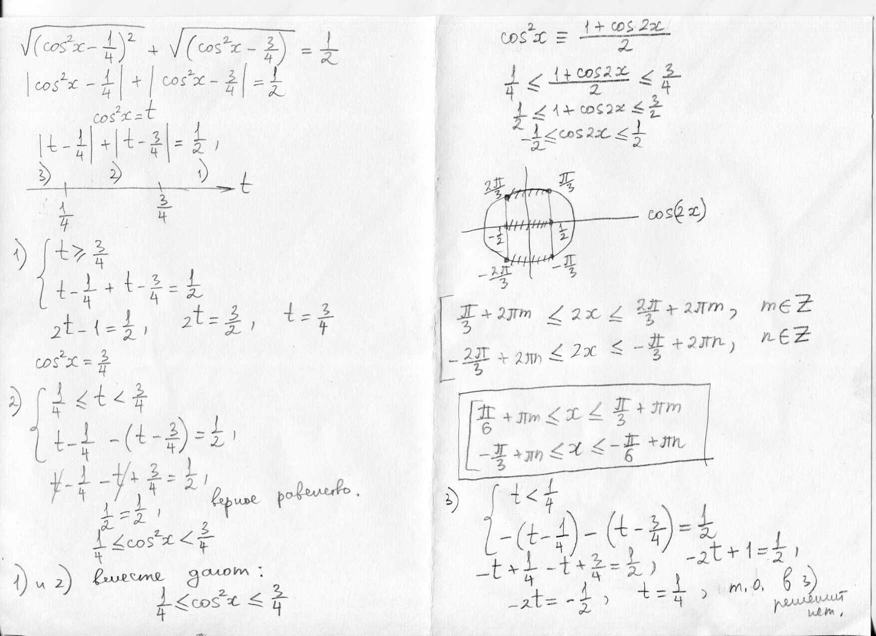
В подкоренных выражениях присутствует квадрат разности. В первой строчке нет квадрата, но квадрат должен быть.
В подкоренных выражениях присутствует квадрат разности. В первой строчке нет квадрата, но квадрат должен быть.
Приложения:
Вас заинтересует
2 года назад
2 года назад
3 года назад
9 лет назад