• Предмет: Математика
  • Автор: Luckyboy4
  • Вопрос задан 8 лет назад

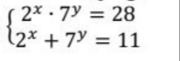
помогите решить систему

Приложения:

Ответы

Ответ дал: LFP
0

очень похоже на т.Виета)) 4*7 = 28 и 4+7 = 11 или 7*4 = 28 и 7+4 = 11

1)

2ˣ = 4 ---> x = 2

7^y = 7 ---> y = 1

2)

2ˣ = 7 ---> x = log₂7

7^y = 4 ---> y = log₇4

Ответ: (2; 1); (log₂7; log₇4)

Вас заинтересует