• Предмет: Алгебра
  • Автор: Elizaveta1528
  • Вопрос задан 8 лет назад

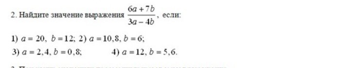
Помогите пожалуйста с дз на лето ) Алгебра
2,3,4, пожалуйста

Приложения:

Ответы

Ответ дал: komolkinaam
0

1. 6 * 20 + 7 * 12/3 * 20 - 4 * 12 = 120 + 84/60 - 48 = 204/12 = 17

2. 6 * 10 + 7 * 6/3 * 10 - 4 * 6 = 60 + 24/30 - 24 = 102/6 = 17

3. 6 * 2,4 + 7 * 0,8/3 *2,4 - 4 * 0,8 = 14,4 + 5,6/7,2 - 3,2 = 20/4 = 5

4. хз

Ответ дал: Elizaveta1528
0
а где числа с запятами , такие как 10.8,
Вас заинтересует