• Предмет: Математика
  • Автор: mobfire
  • Вопрос задан 8 лет назад

Пожалуйста, помогите это решить! Найдите значения выражения:

Приложения:

Ответы

Ответ дал: snow99
0

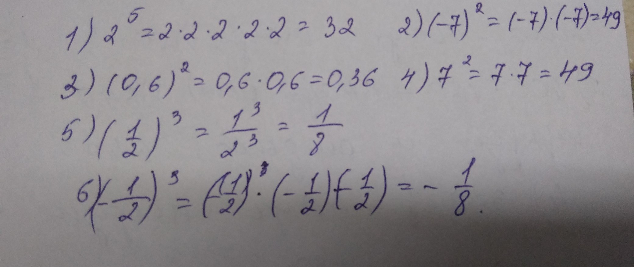
1) :  :  {2}^{5}  = 32 \  \ 2) :  :  {( - 7)}^{2}  = 49 \  \ 3) :  :  {(0.6)}^{2}  = 0.36 \  \ 4) :  :  {7}^{2}  = 49 \  \ 5) :  :  {( frac{1}{2} )}^{3}  =  frac{ {1}^{3} }{ {2}^{3} }  =  frac{1}{8}
1) :  :  {2}^{5}  = 32 \  \ 2) :  :  {( - 7)}^{2}  = 49 \  \ 3) :  :  {(0.6)}^{2}  = 0.36 \  \ 4) :  :  {7}^{2}  = 49 \  \ 5) :  :  {( frac{1}{2} )}^{3}  =  frac{ {1}^{3} }{ {2}^{3} }  =  frac{1}{8}  \  \ 6) :  :  {( -  frac{1}{2}) }^{3}  =  frac{ {( - 1)}^{3} }{ {2}^{3} }  =  -  frac{1}{8}
Ответ дал: sherlok123321
0
--------------------------------------
Приложения:
Вас заинтересует