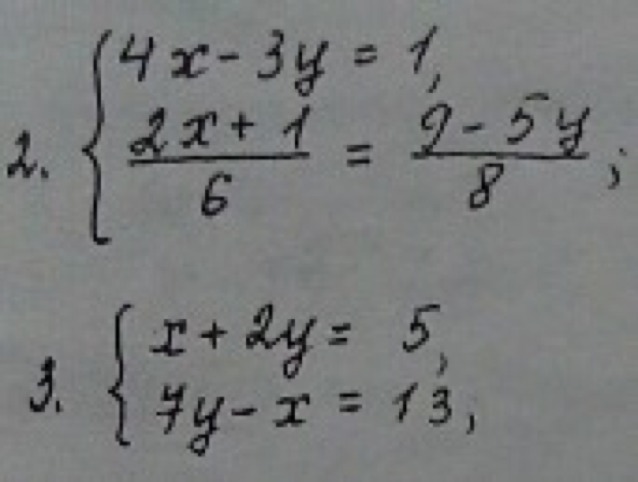
Помогите решить систему уравнений, за лето все забыла
Желательно все 2 системы в письменном варианте, заранее спасибо
Приложения:

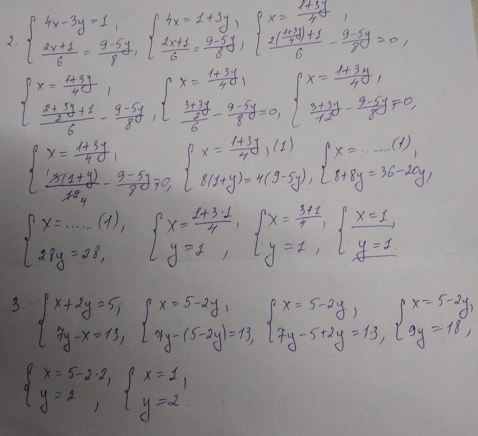
Ответы
Ответ дал:
0
Не самый простой способ, но всё же...
--------------------------------------
--------------------------------------
Приложения:

Вас заинтересует
2 года назад
3 года назад
3 года назад
9 лет назад
9 лет назад
9 лет назад