• Предмет: Алгебра
  • Автор: ygfklugy7
  • Вопрос задан 8 лет назад

Решите плиз задание

Приложения:

Ответы

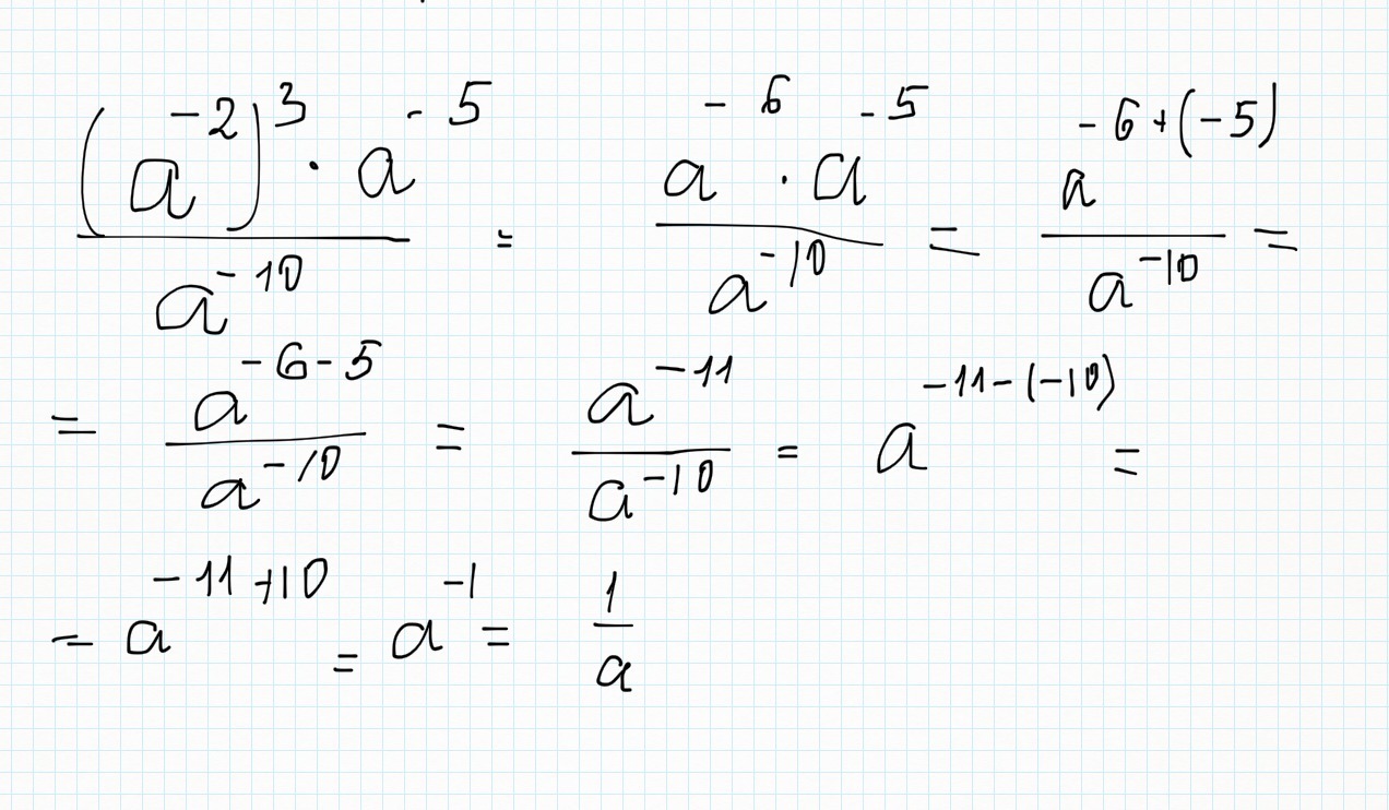
Ответ дал: Guardian07
0

Удачи))))))))))))))))))))))))

Приложения:
Ответ дал: 0108003
0
по формуле,решаешь
a³*a²=3+2,на фотке непраильная формула
Приложения:
Вас заинтересует