• Предмет: Алгебра
  • Автор: adespina2004
  • Вопрос задан 8 лет назад

Выполните разложение многочленов :
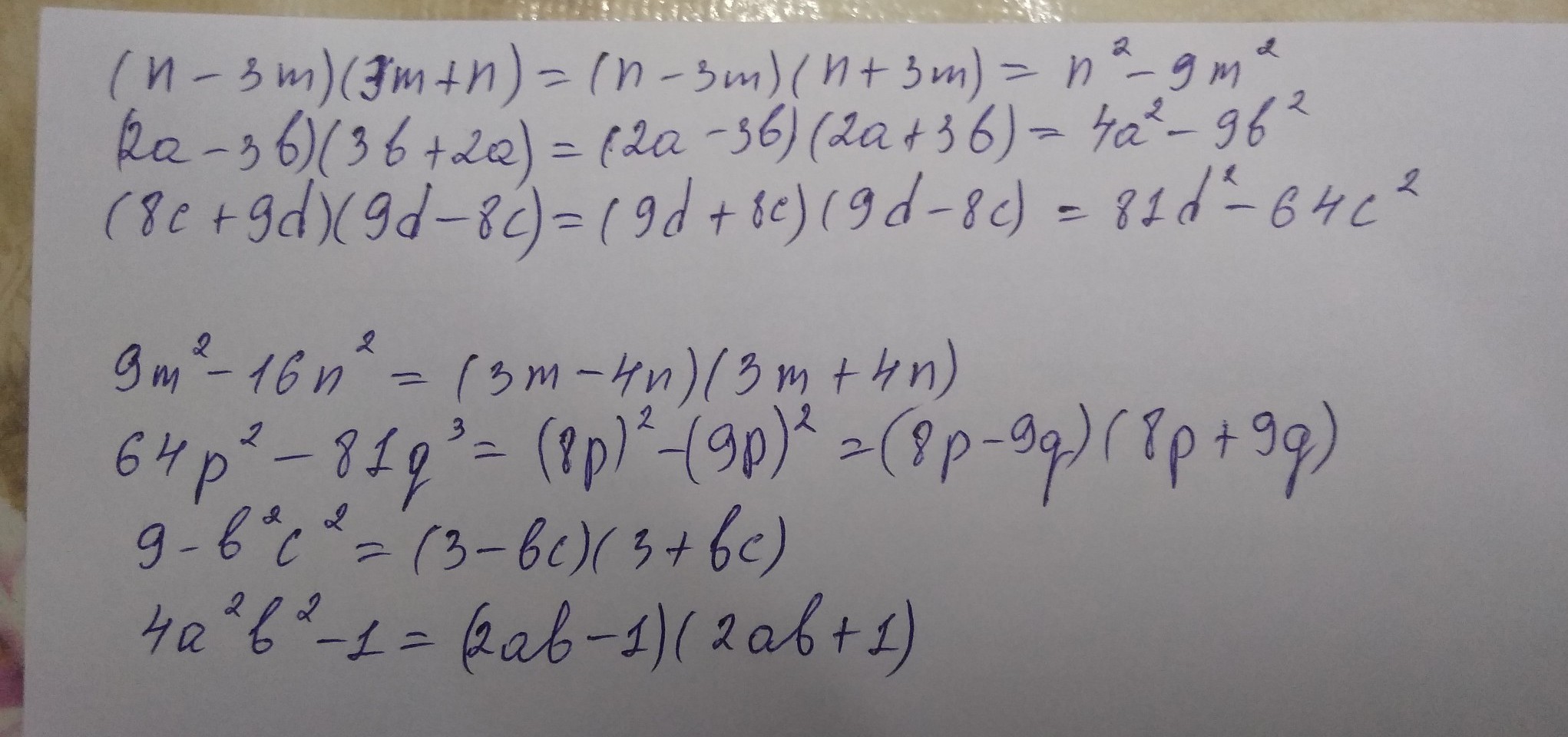
(n-3m)(3m+n)
(2a-3b)(3b+2a)
(8c+9d)(9d-8c)

Разложите на множители :
9m^2-16n^2
64p^2-81q^3
9-b^2c^2
4a^2b^2-1

Ответы

Ответ дал: snow99
0

(n - 3m)(3m + n) =  {n}^{2}  -  {(3m)}^{2}  =  {n}^{2}  - 9 {m}^{2}  \  \ (2a - 3b)(3b + 2a) =  {(2a)}^{2}  -  {(3b)}^{2}  = 4 {a}^{2}  - 9 {b}^{2}  \  \ (8c + 9d)(9d - 8c) =  {(9d)}^{2}  -  {(8c)}^{2}  = 81 {d}^{2}  - 64 {c}^{2}  \  \ \ 9 {m}^{2}  - 16 {n}^{2}  =  {(3m)}^{2}  -  {(4n)}^{2}  = (3m - 4n)(3m + 4n) \  \ 64 {p}^{2}  - 81 {q}^{2}  =  {(8p)}^{2}  -  {(9q)}^{2}  = (8p - 9q)(8p + 9q) \  \ 9 -  {b}^{2}  {c}^{2}  =  {3}^{2}  -  {(bc)}^{2}  = (3 - bc)(3 + bc) \  \ 4 {a}^{2}  {b}^{2}  - 1 =  {(2ab)}^{2}  -  {1}^{2}  = (2ab - 1)(2ab + 1)
Ответ дал: sherlok123321
0
--------------------------------------
Вот.
--------------------------------------
Приложения:
Вас заинтересует