• Предмет: Алгебра
  • Автор: DaNaCe
  • Вопрос задан 8 лет назад

решите простые примеры 6 балов

Приложения:

Ответы

Ответ дал: Misha001192
0
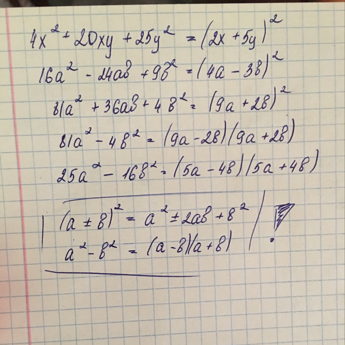
1) : 4 {x}^{2} + 20xy + 25 {y}^{2} = {(2x + 5y)}^{2} \ \ 2) : 16 {a}^{2} - 24ab + 9 {b}^{2} = {(4a - 3b)}^{2} \

3) : 81 {a}^{2} + 36ab + 4 {b}^{2} = {(9a + 2b)}^{2} \ \ 4) : 81 {a}^{2} - 4 {b}^{2} = (3a - 2b)(3a + 2b) \

5) : 25 {a}^{2} - 16 {b}^{2} = (5a - 4b)(5a + 4b) \

Использовали формулы:

а² ± 2аb + b² = ( a ± b )² - квадрат суммы / разности

a² - b² = ( a - b )( a + b ) - разность квадратов
Ответ дал: zaicdnk90
0
Решение на фото.....
Приложения:
Вас заинтересует