• Предмет: Алгебра
  • Автор: andromeda12
  • Вопрос задан 8 лет назад

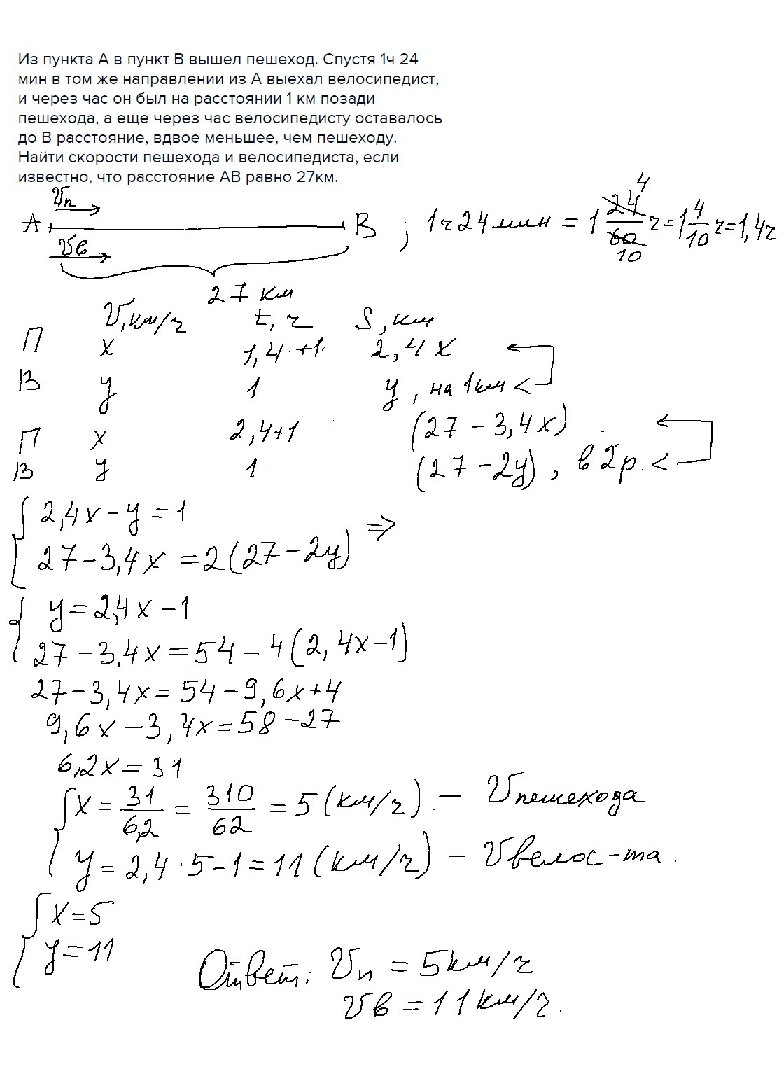
Из пункта А в пункт В вышел пешеход. Спустя 1ч 24 мин в том же направлении из А выехал велосипедист, и через час он был на расстоянии 1 км позади пешехода, а еще через час велосипедисту оставалось до В расстояние, вдвое меньшее, чем пешеходу. Найти скорости пешехода и велосипедиста, если известно, что расстояние АВ равно 27км.

Ответы

Ответ дал: talk111
0

............................ ....................... .............................

Приложения:
Вас заинтересует