Ответы
Ответ дал:
0
Ответ: 5
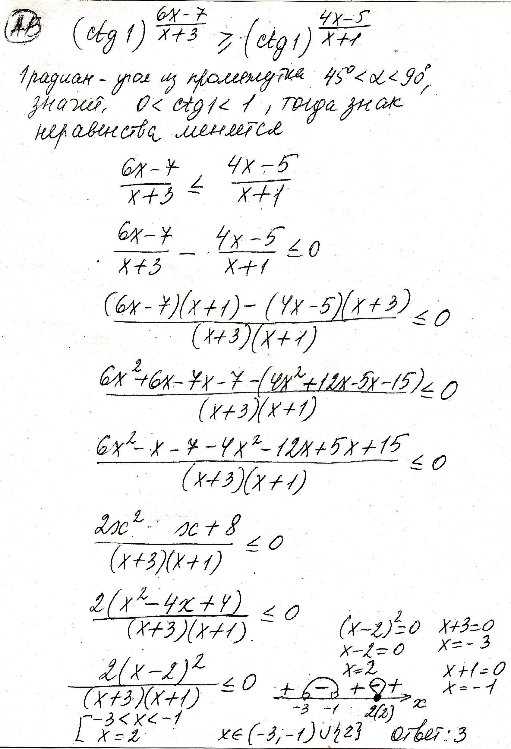
Решение А13 прикреплено в файле
Приложения:

Ответ дал:
0
Спасибо огромное.Ломал голову ,не знал как решать
Вас заинтересует
2 года назад
2 года назад
3 года назад
3 года назад
9 лет назад
9 лет назад