• Предмет: Алгебра
  • Автор: SscTay
  • Вопрос задан 8 лет назад

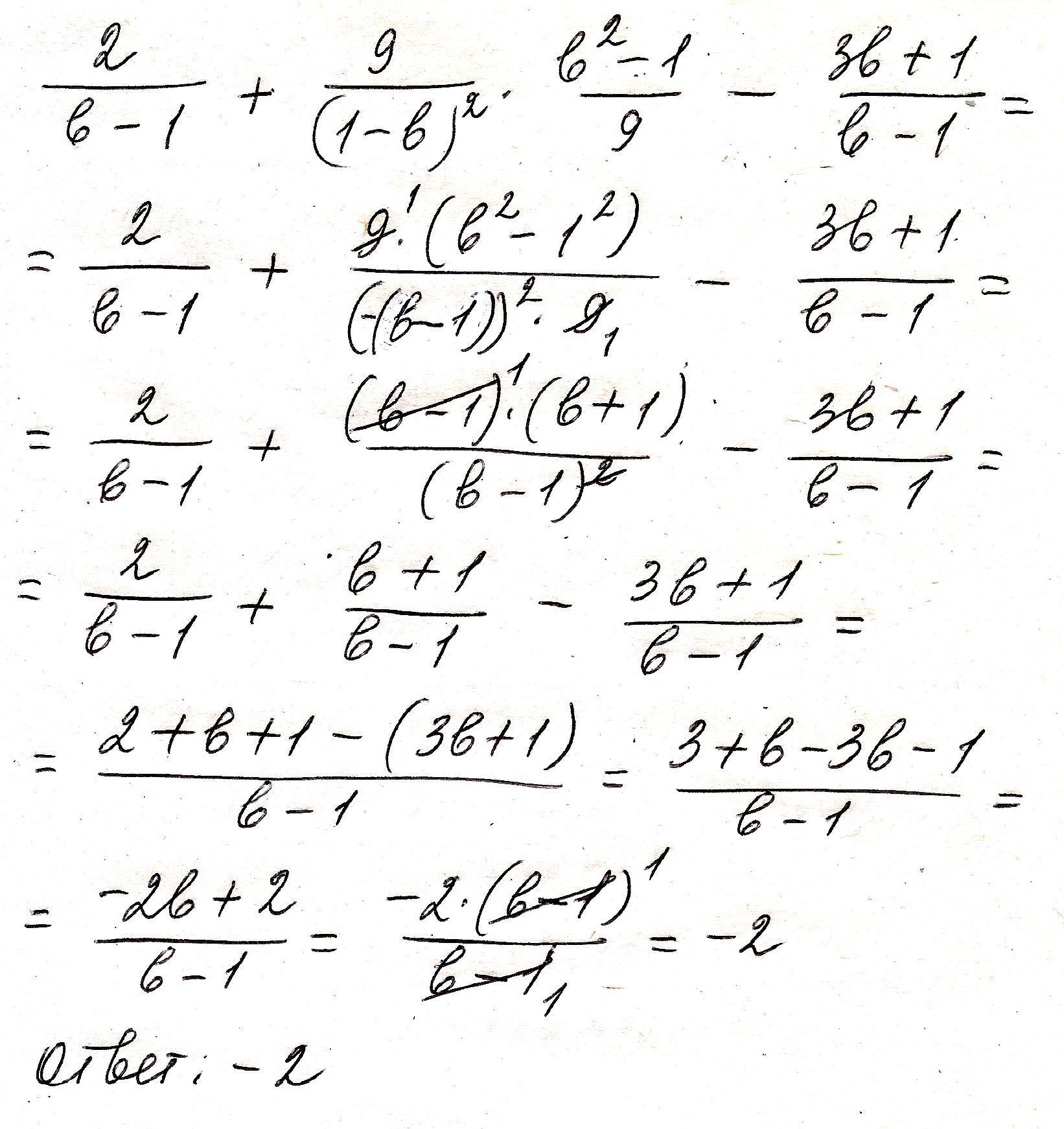
Решите внятно и понятно. Нужно упростить выражение

Приложения:

Ответы

Ответ дал: snow99
0

 frac{2}{b - 1}  +  frac{9}{ {(1 - b)}^{2} }  times  frac{ {b}^{2} - 1 }{9}  -  frac{3b + 1}{b - 1}  =  frac{2 - (3b + 1)}{b - 1}  +  frac{9}{ {(b - 1)}^{2} }  times  frac{(b - 1)(b + 1)}{9}  =  frac{2 - 3b - 1}{b - 1}  +  frac{b + 1}{ b - 1}  =  frac{1 - 3b + b + 1}{b - 1}  =  frac{2 - 2b}{b - 1}  =  frac{2(1 - b)}{b - 1}  =  frac{ 2(1 - b)}{ - (1 - b)}  =  - 2
Ответ дал: mishka19
0

Решение прикреплено в файле

Приложения:
Вас заинтересует