Ответы
Ответ дал:
0
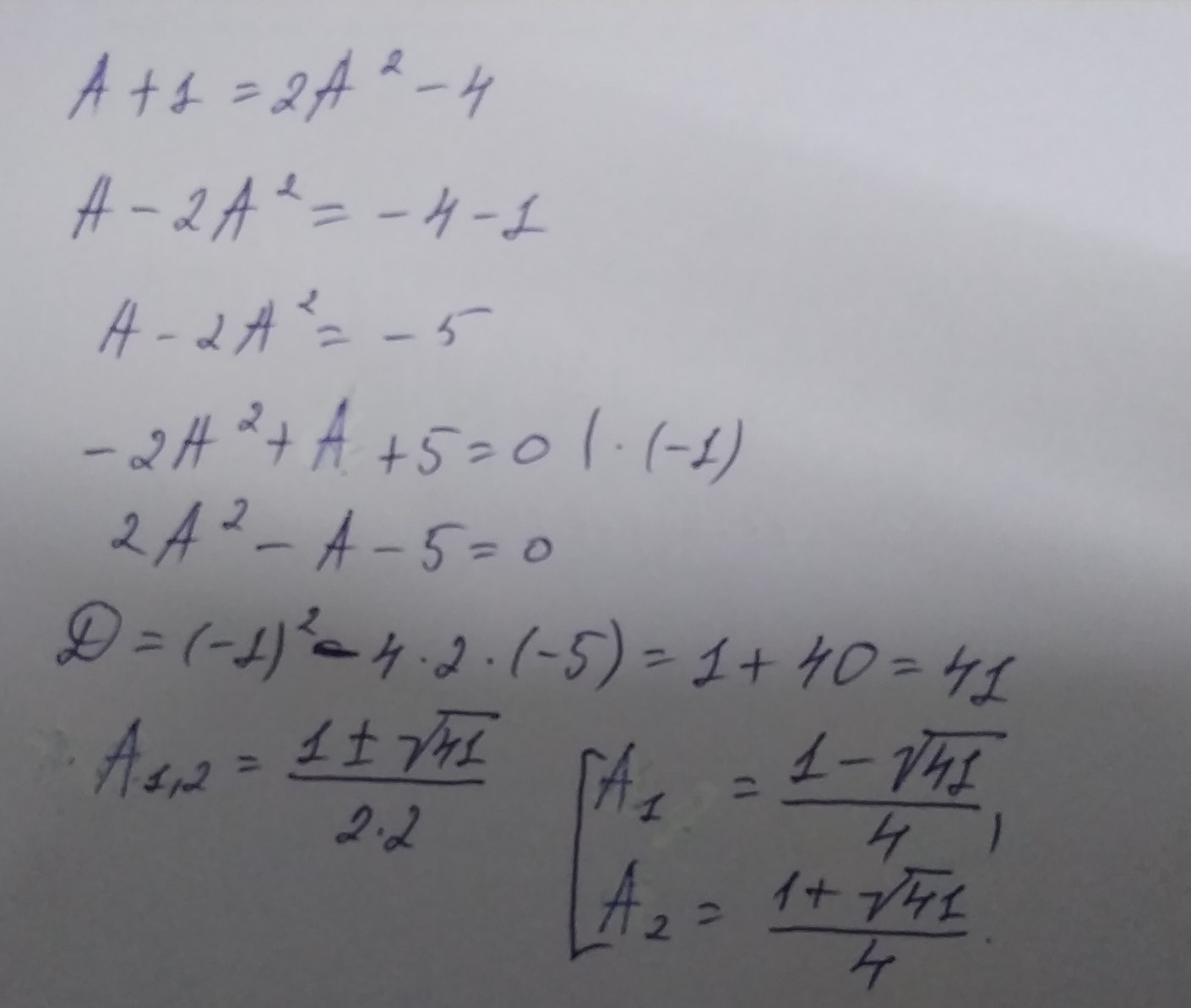
2A²-4-A-1=0
2A²-A-5=0
D=b²-4ac=1-4*2*(-5)=1+40=41
X1=(1+√41)/4
X2=(1-√41)/4
Ответ: X1,2=(1±√41)/4
Ответ дал:
0
---------------------------------------------------
Вот решение
---------------------------------------------------
Вот решение
---------------------------------------------------
Приложения:

Вас заинтересует
2 года назад
2 года назад
3 года назад
9 лет назад
9 лет назад
9 лет назад
9 лет назад