• Предмет: Алгебра
  • Автор: ItzSairus
  • Вопрос задан 8 лет назад

как решить?
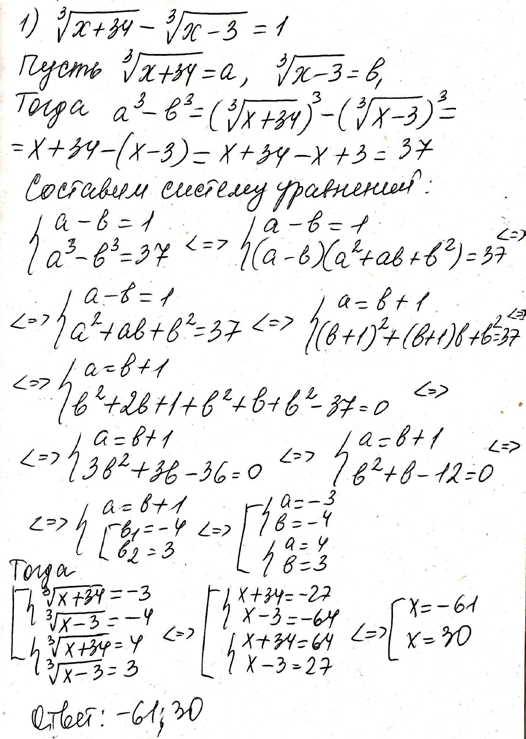
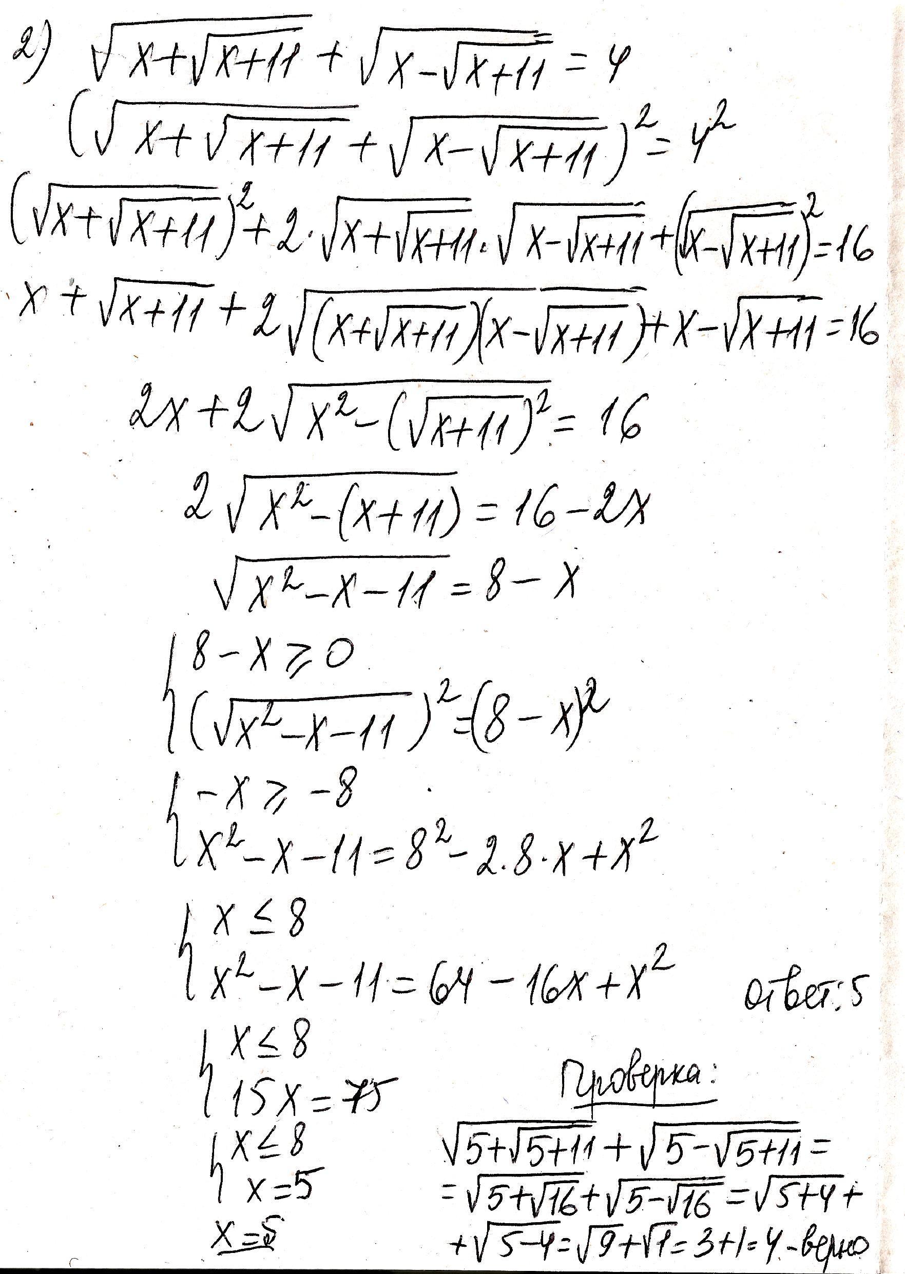
 sqrt[3]{x + 34}  -  sqrt[3]{x - 3}  = 1  \  sqrt{x +  sqrt{x + 11} }  +  sqrt{x -  sqrt{x + 11} }  = 4

Ответы

Ответ дал: mishka19
0

Решения на изображениях:

Приложения:
Ответ дал: spasibo3pajbrh
0
 sqrt[3]{x + 34} - sqrt[3]{x - 3} = 1
делаем замену
y = sqrt[3]{x - 3} : = > x = {y}^{3} + 3
тогда наше уравнение примет вид:
 sqrt[3]{ {y}^{3} + 37 } - y = 1
 sqrt[3]{ {y}^{3} + 37 } = y + 1
возводим в куб обе части
y³+37=y³+3y²+3y+1
3y²+3y-36=0
y²+y-12=0
(y+4)(y-3)=0
y1=-4
y2=3
Вернёмся к замене
x=y³+3
тогда
х1=(-4)³+3=-61
х2=3³+3=30

Ответ х1=-61, х2=30

второе уравнение на фото.

удачи!
Приложения:
Вас заинтересует