помогите, пожалуйста
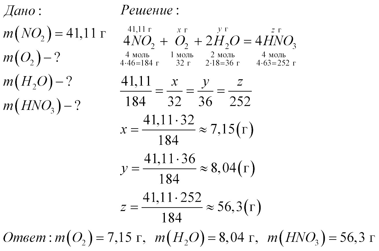
нужно найти массы О2, HNO3 и H2O по уравнению:
41,11 г-----Х г-------Х г--------Х г
4NO2 + O2 + 2H2O = 4HNO3
--46------32--------18----------63
Ответы
Ответ дал:
0
Решение на изображении
Приложения:

Ответ дал:
0
спасибо большое за ответ! назови, пожалуйста, свою фамилию
Ответ дал:
0
может я тебя знаю?
Вас заинтересует
2 года назад
3 года назад
9 лет назад
9 лет назад