Ответы
Ответ дал:
0
_____________________________
ОДЗ:
_____________________________________________
Ответ дал:
0
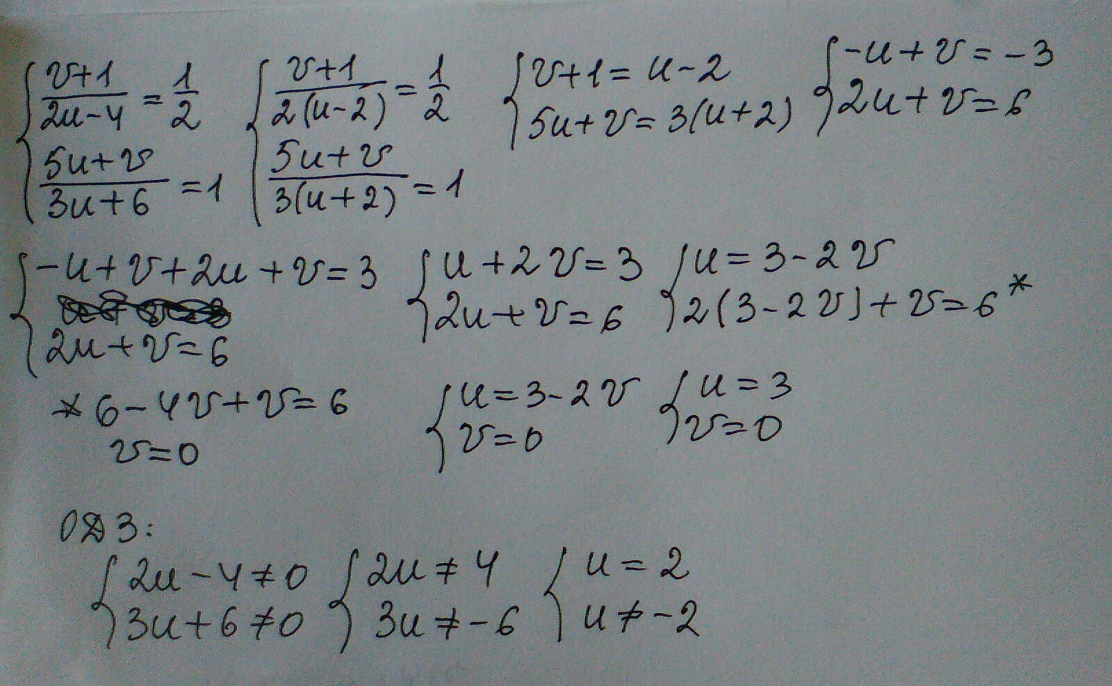
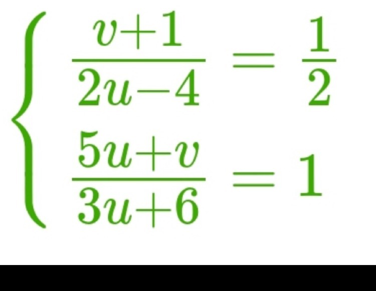
Смотри во вложениииии
Приложения:

Вас заинтересует
2 года назад
3 года назад
9 лет назад
9 лет назад
9 лет назад