• Предмет: Геометрия
  • Автор: ulia23ver
  • Вопрос задан 8 лет назад

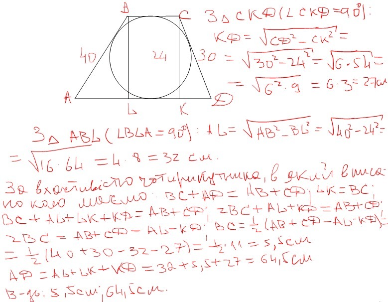
Бічні сторони трапеції дорівнюють 30 см і 40 см. Знайдіть основи трапеції, якщо радіус вписаного кола дорівнює 12 см.

Ответы

Ответ дал: ruslank1460
0

розв'язок задачі у вкладенні

Приложения:
Вас заинтересует