• Предмет: Алгебра
  • Автор: koshhkarova15
  • Вопрос задан 8 лет назад

помогите пожалуйста, не понимаю как решать(

Приложения:

Ответы

Ответ дал: sherlok123321
0
--------------------------------------------
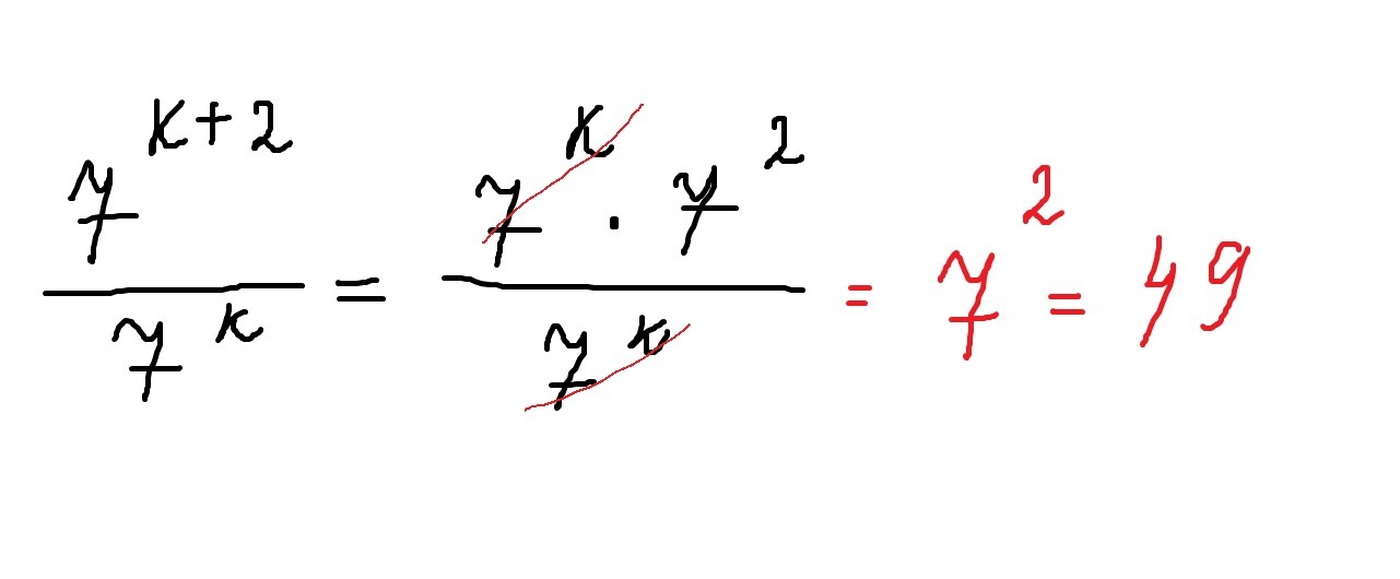
Ответ : 49
--------------------------------------------
Приложения:
Ответ дал: Guardian07
0

................................................

Приложения:
Вас заинтересует