• Предмет: Алгебра
  • Автор: Elizaveta1528
  • Вопрос задан 8 лет назад

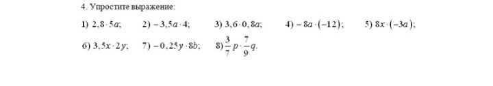
помогите пожалуйста с алгеброй.......
нужно упростить выражение
и если не сложно подробно

Приложения:

Ответы

Ответ дал: phoropaev1
0
1) 14а 2) -14а 3) 2.88а 4) 96а 5) -24ах 6) 7ху 7) -2уб 8) 1/3 pq
Вас заинтересует