Ответы
Ответ дал:
0
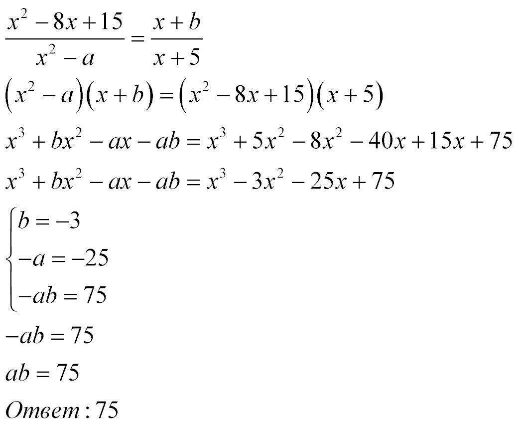
Решение (см. изображение)
Приложения:

Ответ дал:
0
Как мне это написать
Ответ дал:
0
туда не уместится
Вас заинтересует
2 года назад
3 года назад
3 года назад
9 лет назад
9 лет назад
9 лет назад