• Предмет: Математика
  • Автор: cat34552w
  • Вопрос задан 8 лет назад

решите пожалуйста,срочно надо

Приложения:

Ответы

Ответ дал: mishka19
0

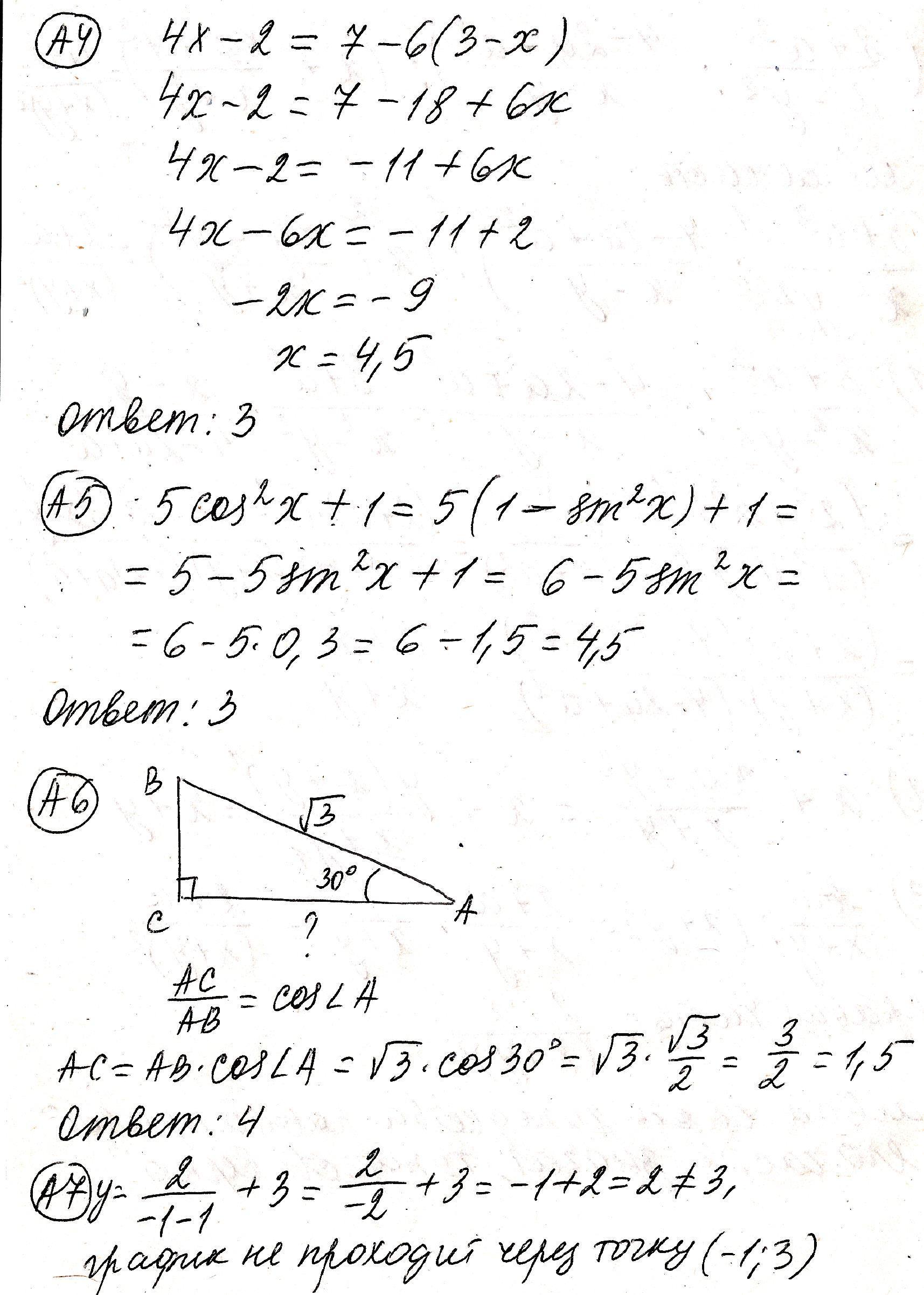
Решение (см. изображения)

Приложения:
Вас заинтересует