Ответы
Ответ дал:
0
-----------------------------------------------
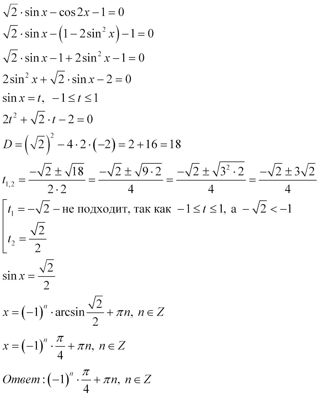
Ответ вышел в таком виде)
Надеюсь, помог)
-----------------------------------------------
Ответ вышел в таком виде)
Надеюсь, помог)
-----------------------------------------------
Приложения:


Ответ дал:
0
Решение (см. изображение)
Приложения:

Вас заинтересует
2 года назад
2 года назад
3 года назад
9 лет назад
9 лет назад
9 лет назад
9 лет назад