Ответы
Ответ дал:
0
Смотри во вложенииии
Приложения:

Ответ дал:
0
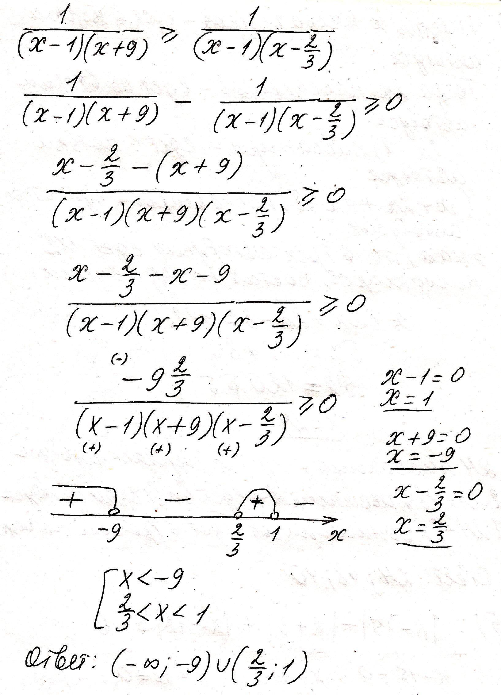
Решение (см. изображение)
Приложения:

Ответ дал:
0
просто поинтересовался
Ответ дал:
0
абсолютно согласна, что выколотая точка ==это то же самое ОДЗ (и не важно строгое или нестрогое неравенство)) а вот учитывать знак числителя обязательно (!!) интересно, что оба автора ответов ошиблись одинаково...
Ответ дал:
0
Я учитывала знак числителя вроде)
Ответ дал:
0
знак на крайнем правом промежутке -, значит, учтено
Ответ дал:
0
верно... я ошиблась)) привыкла, что на крайнем правом +)) я просто всегда меняю знак...
Вас заинтересует
2 года назад
3 года назад
3 года назад
9 лет назад