Ответы
Ответ дал:
0
Готово! Ответ на фото:
Приложения:

Ответ дал:
0
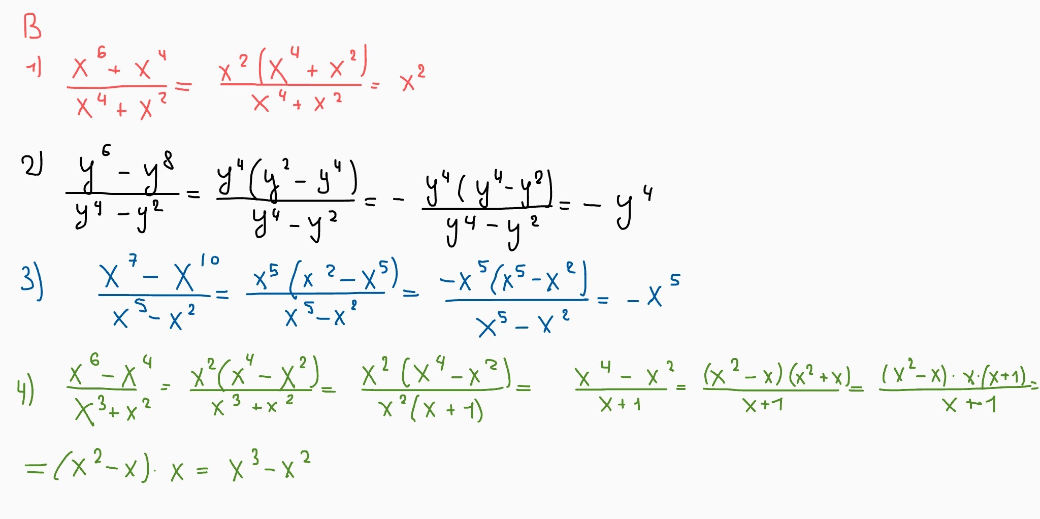
B.
1) (x⁶+x⁴)/(x⁴+x²)=x²*(x⁴+x²)/(x⁴+x²)=x².
4) (x⁶-x⁴)/(x³+x²)=x⁴*(x²-1)/(x²*(x+1))=x²*(x-1)(x+1)/(x+1)=(x-1)*x².
Приложения:

Вас заинтересует
2 года назад
2 года назад
3 года назад
9 лет назад
9 лет назад