• Предмет: Математика
  • Автор: nikita67htnikita67ht
  • Вопрос задан 8 лет назад

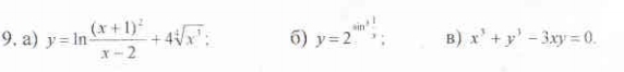
Найти производные функций

Приложения:

Ответы

Ответ дал: NNNLLL54
0

 1); ; y=lnfrac{(x+1)^2}{x-2} +4sqrt[4]{x^3}\\y'=frac{x-2}{(x+1)^2}cdot frac{2(x+1)(x-2)-(x+1)^2}{(x-2)^2}+4cdot frac{3}{4}cdot x^{-1/4}=\\=frac{(x+1)cdot (2x-4-x-1)}{(x+1)^2(x-2)}+3cdot frac{1}{sqrt[4]{x}}=frac{x-5}{(x+1)(x-2)}+frac{3}{sqrt[4]{x}}

 2); ; y=2^{sin^2frac{1}{x}}\\y'=2^{sin^2frac{1}{x}}cdot ln2cdot (sin^2frac{1}{x})'=2^{sin^2frac{1}{x}} cdot ln2cdot 2, sinfrac{1}{x}cdot cosfrac{1}{x}cdot frac{-1}{x^2}=\\=-2^{sin^2frac{1}{x}}cdot ln2cdot frac{1}{x^2}cdot sinfrac{2}{x}\\3); ; x^3+y^3-3xy=0\\3x^2+3y^2cdot y'-3y-3xcdot y'=0\\y', (3y^2-3x)=3y-3x^2\\y'=frac{y-x^2}{y^2-x}

Вас заинтересует