• Предмет: Алгебра
  • Автор: Nishinoyaa
  • Вопрос задан 8 лет назад

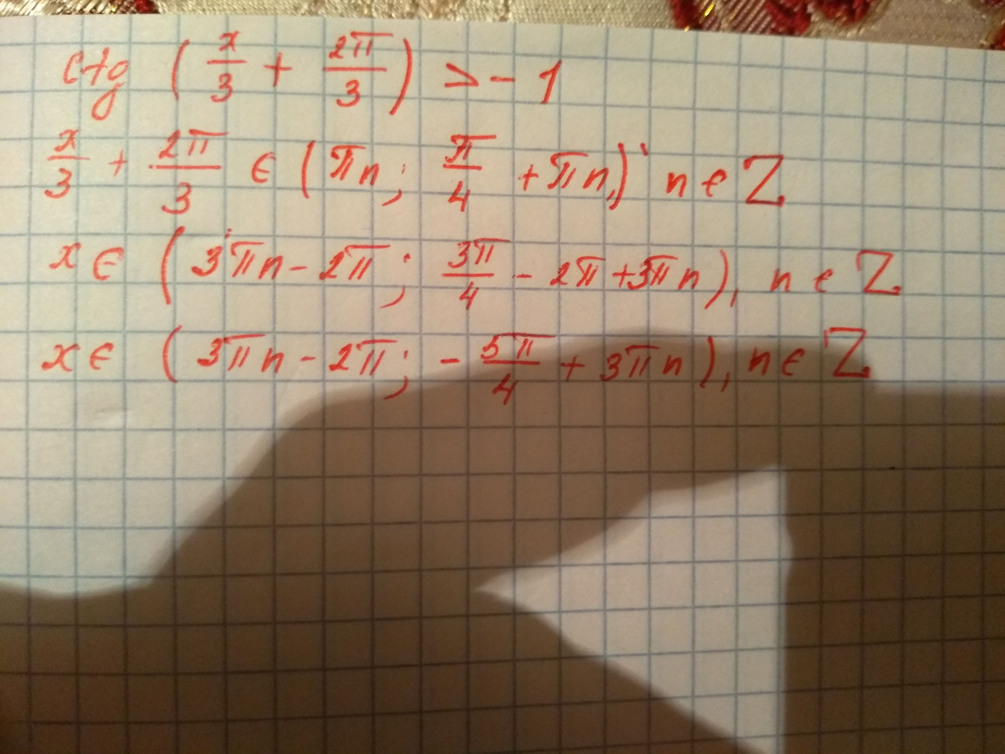
решите тригонометрическое уравнение:
ctg(x/3+2п/3)>-1

Ответы

Ответ дал: мераб
0
Решение на фото, удачи
Приложения:
Ответ дал: dina777894
0
правильно
Ответ дал: dina777894
0
??.?
Ответ дал: мераб
0
Ну подставь, проверь
Ответ дал: dina777894
0
решил(а).
Ответ дал: dina777894
0
да да правильно
Ответ дал: juniorotabekpai8do
0

Решение внизу на фото

Приложения:
Вас заинтересует