Ответы
Ответ дал:
0
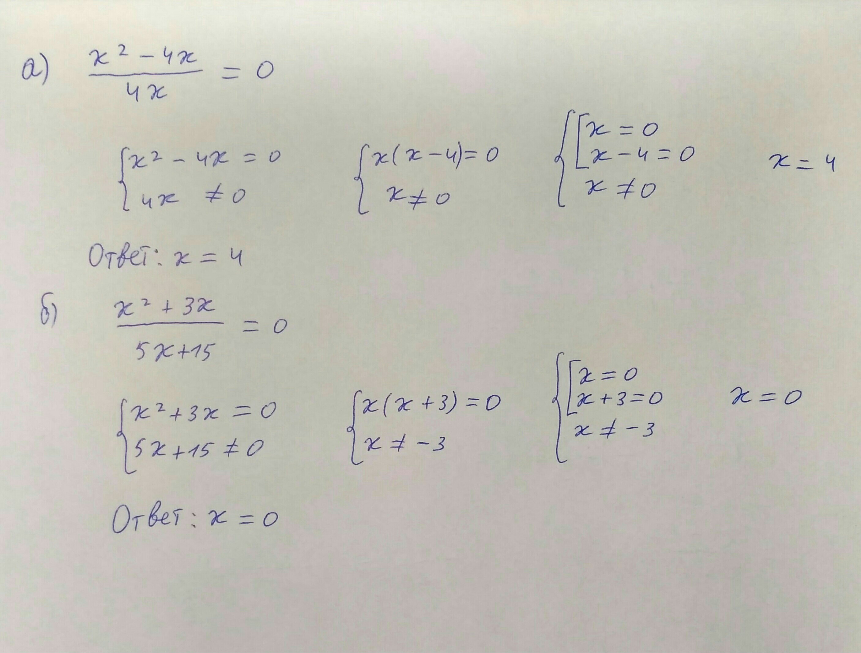
(x²-4x)/4x=0
ОДЗ:
x≠0
x²-4x=0
x(x-4)=0
x=0-не удов
x-4=0
x=4
(x²+3x)/(5x+15)=0
ОДЗ:
5x+15≠0
5x≠-15|:5
x≠-3
x²+3x=0
x(x+3)=0
x=0
x+3=0
x=-3-не удов
ОДЗ:
x≠0
x²-4x=0
x(x-4)=0
x=0-не удов
x-4=0
x=4
(x²+3x)/(5x+15)=0
ОДЗ:
5x+15≠0
5x≠-15|:5
x≠-3
x²+3x=0
x(x+3)=0
x=0
x+3=0
x=-3-не удов
Ответ дал:
0
Решение во вложении ------------>
Приложения:
Вас заинтересует
2 года назад
2 года назад
3 года назад
9 лет назад
9 лет назад