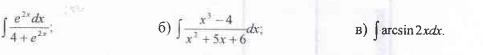
Найти указанные неопределённые интегралы и результаты интегрирования проверить дифференцированием
Приложения:

Ответы
Ответ дал:
0
Ловите решение всех с проверкой. Первый делаем простую u-замену, второй решаем разложением дроби на простейшие с последующим интегрированием, третий - замена, далее, по частям (u, dv). Удачи!
Приложения:



Вас заинтересует
2 года назад
2 года назад
3 года назад
3 года назад
9 лет назад
9 лет назад