Привеет всем) Кому не сложно помогите пожалуйста, ну очень срочно
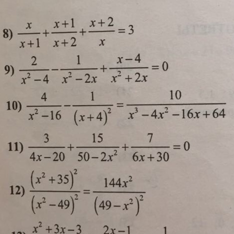
10 номер)
Помогите пожалуйста
Приложения:

Ответы
Ответ дал:
0
ОДЗ: x²-16≠0 x≠+/-4.
1. 4/(x²-16)-1/(x+4)²=4/((x+4)(x-4))-1/(x+4)²=(4*(x+4)-1*(x-4))/((x-4)(x+4)²)=
=(4x+16-x+4)/((x²-16)(x+4))=(3x+20)/((x²-16)(x+4)).
2. 10/(x³-4x²-16x+64)=10/((x³-16x)-(4x²-64))=10/(x*(x²-16)-4*(x²-16))=
=10/((x²-16)(x-4)).
3.
(3x+20)/((x²-16)(x+4))=10/(x²-16)(x-4)
(3x+20)/(x+4)=10/(x-4)
(3x+20)(x-4)=10*(x+4)
3x²+8x-80=10x+40
3x²-2x-120=0 D=1444 √D=38
Ответ: x₁=-6 x₂=6²/₃.
Вас заинтересует
2 года назад
3 года назад
3 года назад
9 лет назад
9 лет назад
9 лет назад