Ответы
Ответ дал:
0
Решение во вложении.
Приложения:
Ответ дал:
0
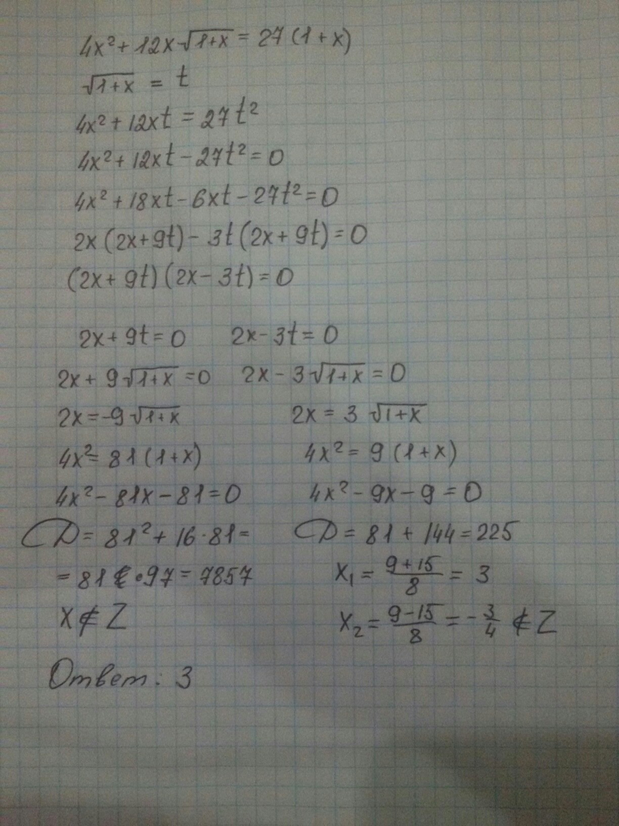
4x²+12x√(1+x)=27(1+x);x>-1
√(1+x)=t>0
1+x=t²
x=t²-1
4(t²-1)²+12(t²-1)•t-27t²=0 ; |:t²
4(t-1/t)²+12(t-1/t)-27=0
t-1/t=a
4a²+12a-27=0
D=36+4•27=144=12²
a=(-6±12)/4
a1=-18/4=-9/2;a2=6/4=3/2
1)t-1/t=-9/2
√(1+x)-1/√(1+x)+9/2=0;x>-1
2(1+x-1)-9√(1+x)=0
2x=9√(1+x)
4x²=81(1+x)
4x²-81x-81=0
D=6561+1296=7857
x=(81±√7857)/8
х¢Z
2)t-1/t=3/2
√(1+x)-1/√(1+x)=3/2;x>-1
2(1+x-1)=3√(1+x)
2x=3√(1+x)
4x²-9x-9=0
D=81+144=225=15²
x=(9±15)/8
x1=24/8=3
x2=-6/8=-3/4
x2¢Z
ответ целый корень х=3
√(1+x)=t>0
1+x=t²
x=t²-1
4(t²-1)²+12(t²-1)•t-27t²=0 ; |:t²
4(t-1/t)²+12(t-1/t)-27=0
t-1/t=a
4a²+12a-27=0
D=36+4•27=144=12²
a=(-6±12)/4
a1=-18/4=-9/2;a2=6/4=3/2
1)t-1/t=-9/2
√(1+x)-1/√(1+x)+9/2=0;x>-1
2(1+x-1)-9√(1+x)=0
2x=9√(1+x)
4x²=81(1+x)
4x²-81x-81=0
D=6561+1296=7857
x=(81±√7857)/8
х¢Z
2)t-1/t=3/2
√(1+x)-1/√(1+x)=3/2;x>-1
2(1+x-1)=3√(1+x)
2x=3√(1+x)
4x²-9x-9=0
D=81+144=225=15²
x=(9±15)/8
x1=24/8=3
x2=-6/8=-3/4
x2¢Z
ответ целый корень х=3
Приложения:
Вас заинтересует
2 года назад
2 года назад
3 года назад
3 года назад
9 лет назад
9 лет назад
10 лет назад