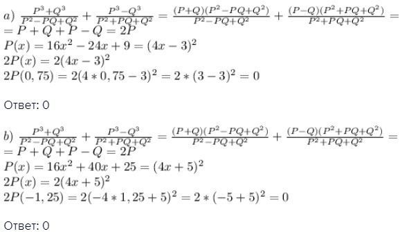
Пожалуйста, решите (типо сначала функция, потом подстановка, потом еще одна подстановка)
Приложения:

Ответы
Ответ дал:
0
Ответ: 0
Ответ: 0
Приложения:

Ответ дал:
0
Спасибо!
Ответ дал:
0
На здоровье!
Вас заинтересует
2 года назад
3 года назад
3 года назад
9 лет назад
9 лет назад
9 лет назад