• Предмет: Алгебра
  • Автор: sdawdq
  • Вопрос задан 8 лет назад

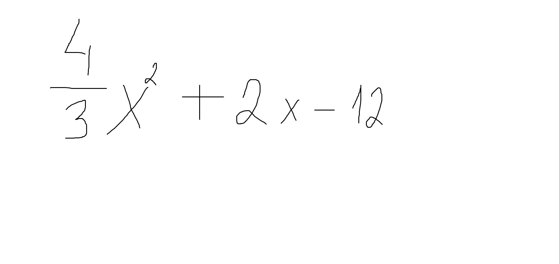
Разложите на множители квадратный член с объяснением :

Приложения:

Ответы

Ответ дал: Guardian07
0

.......................................................

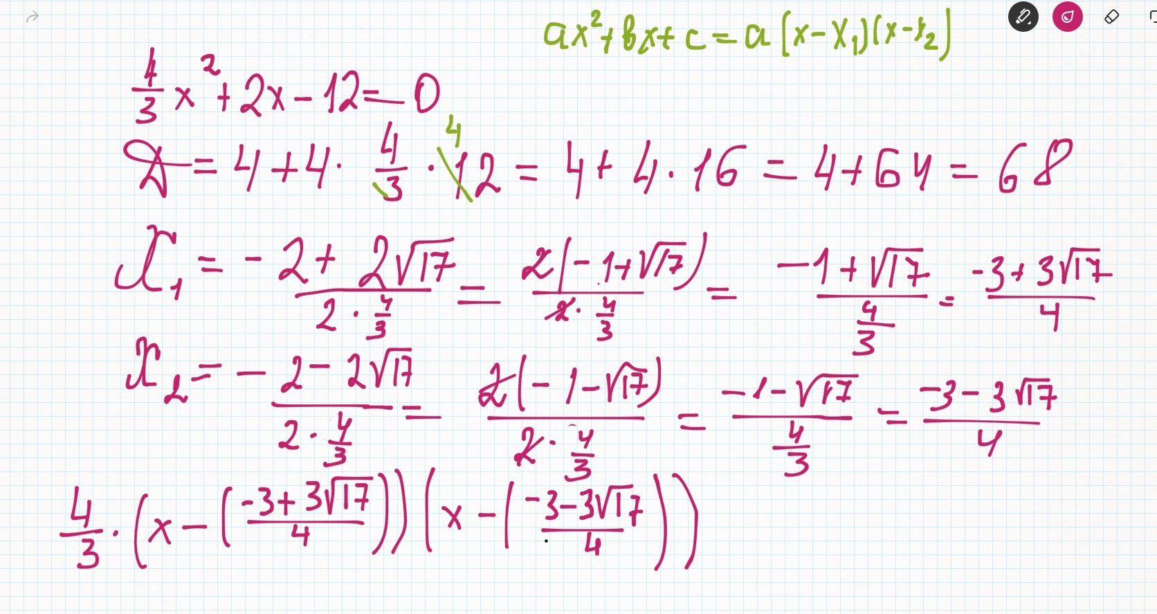
Приложения:
Ответ дал: sdawdq
0
целиком его весь
Ответ дал: Guardian07
0
Что подробней? У данного трехчлена нет корней,разложить не получится целиком
Ответ дал: Guardian07
0
Я могу с иррациональными числами записать,но на меня жалобу подали
Ответ дал: Guardian07
0
Корни есть,просто они не целые*
Ответ дал: Guardian07
0
Исправил. Пожалуйста
Вас заинтересует