Помогите решить, у меня почему то не сходится. Готовлюсь к экзамену! Срочно пожалуйста!
Приложения:

Ответы
Ответ дал:
0
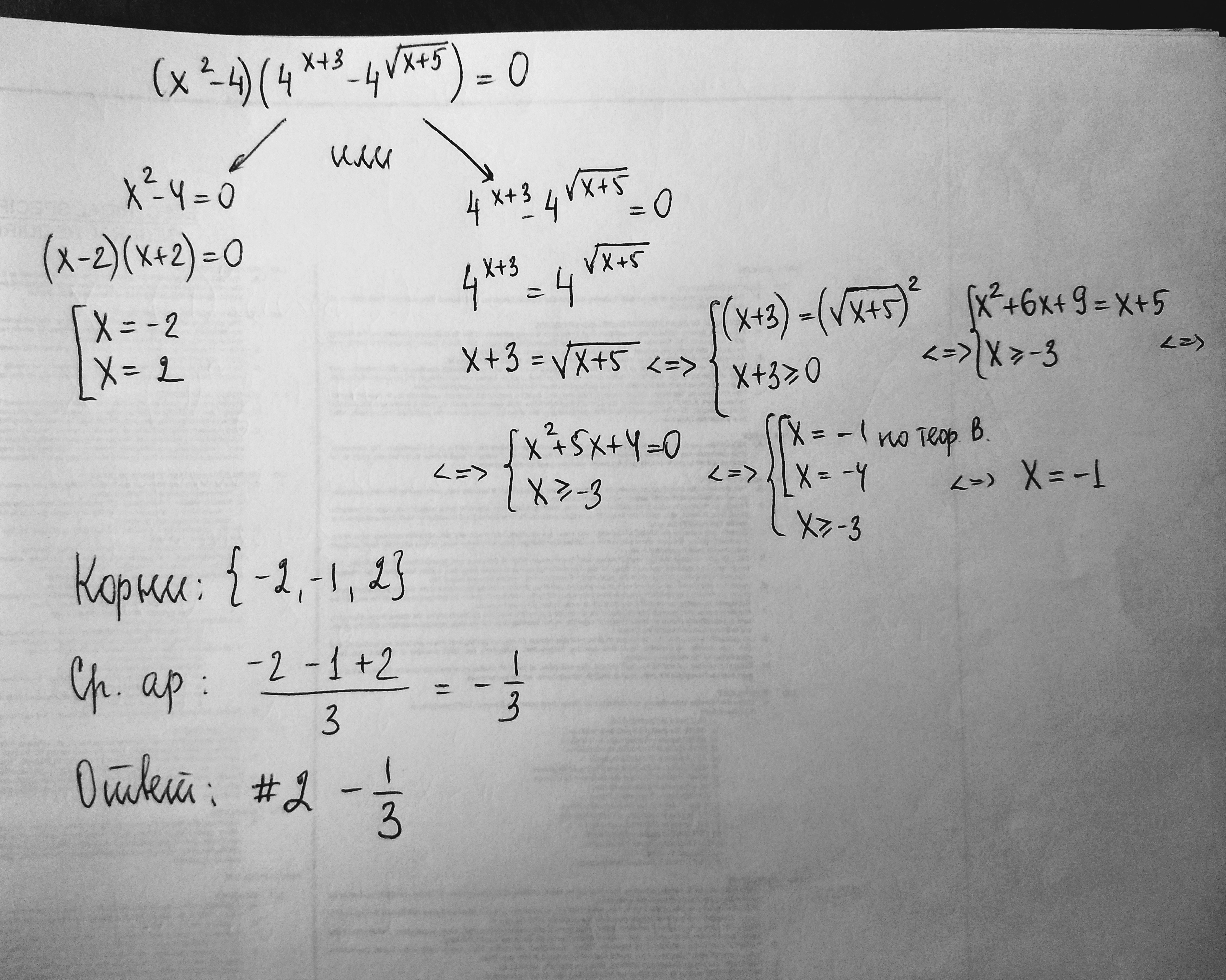
Ловите решение. Удачи!
Приложения:

Ответ дал:
0
Благодарю, подскажи пожалуйста 2 и (-2) проверять надо?
Вас заинтересует
2 года назад
3 года назад
9 лет назад
9 лет назад
9 лет назад