• Предмет: Алгебра
  • Автор: ruslanchofficial
  • Вопрос задан 8 лет назад

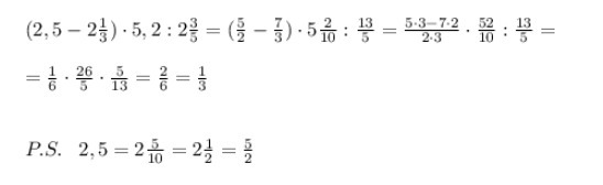
Вычислить:
(2.5 - 2 frac{1}{3} ) times 5.2 div 2 frac{3}{5}
Объясните как решить!))

Ответы

Ответ дал: Ksenia8885690570
0
Ответ будет во вложении
Приложения:
Ответ дал: ruslanchofficial
0
объясните пожалуйста, как у вас получилось 26/5 из 5.2??
Ответ дал: Ksenia8885690570
0
5,2 это 52/10, 52/10 делим на 2 и получается 26/5
Ответ дал: ruslanchofficial
0
спасибл
Ответ дал: ruslanchofficial
0
спасибо*
Ответ дал: Ksenia8885690570
0
пожалуйста
Ответ дал: NNNLLL54
0

.............................................................................................................................................

Приложения:
Вас заинтересует