Ответы
Ответ дал:
0
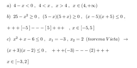
А)


Б)



Х от - 5 до 5 в квадратных скобках
В)


Ответ : Х от - 3 до 2 в квадратных скобках
Б)
Х от - 5 до 5 в квадратных скобках
В)
Ответ : Х от - 3 до 2 в квадратных скобках
Ответ дал:
0
.................................................................................................................................................
Приложения:
Вас заинтересует
3 года назад
3 года назад
9 лет назад
9 лет назад
10 лет назад
10 лет назад