Ответы
Ответ дал:
0
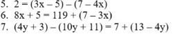
2=(3x-5)-(7-4x)
2=3x-5-7+4x
-3x-4x=-5-7-2
-7x=-14
x=-14:(-7)
x=2
8x+5=119+(7-3x)
8x+5=119+7-3x
8x+3x=119+7-5
11x=121
x=121:11
x=11
(4y+3)-(10y+11)=7+(13-4y)
4y+3-10y-11=7+13-4y
4y-10y+4y=7+13+11-3
-2y=28
y=28:(-2)
y=-14
2=3x-5-7+4x
-3x-4x=-5-7-2
-7x=-14
x=-14:(-7)
x=2
8x+5=119+(7-3x)
8x+5=119+7-3x
8x+3x=119+7-5
11x=121
x=121:11
x=11
(4y+3)-(10y+11)=7+(13-4y)
4y+3-10y-11=7+13-4y
4y-10y+4y=7+13+11-3
-2y=28
y=28:(-2)
y=-14
Ответ дал:
0
5)2=+3х-5)-(7-4х)
2=3х-5-7+4х
2=7х-12
-7х=-12-2
-7х=-14
х=2
6)8х+5=119+(7-3х)
8х+5=119+7-3х
8х+3х=126-5
11х=121
х=11
7)(4у+3)-(10у+11)=7+(13-4у)
4у+3-10у-11=7+13-4у
-6у-8=20-4у
-6у+4у=20+8
-2у=28
у=-14
Вас заинтересует
2 года назад
2 года назад
3 года назад
9 лет назад
9 лет назад