• Предмет: Математика
  • Автор: lolchiki
  • Вопрос задан 8 лет назад

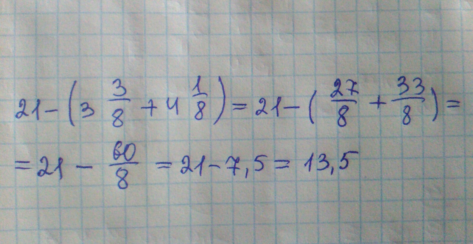
Вычислите значение выражения 21-( 3 3/8+4 1/8)


Отмечу как ЛУЧШИЙ!!!
Заранее спасибо ❤️

Ответы

Ответ дал: mocor
0
Смотри во вложенииии
Приложения:
Ответ дал: Аноним
0
________________________
Вот Ответ
________________________
Приложения:
Ответ дал: Аноним
0
если превратить в десятичную дробь 13,5.
Вас заинтересует