• Предмет: Математика
  • Автор: shaternikova05
  • Вопрос задан 8 лет назад

Помогите пожалуйста. Я не помню

Приложения:

Ответы

Ответ дал: noname111128
0
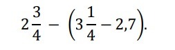
1. 3¼-27/10=11/20
2. 2¾-11/20=2целых 1/5
Ответ дал: KonnorKenuey5445
0

2 целых три четвёртых =((2*4)+3)/4=11/4

3 целых одна четвёртая =((3*4)+1)/4=13/4

2,7=27/10

Подставляем

11/4 - (13/4 -27/10)=55/20 - (65/20-54/20)=(В пред шаге мы все дроби домножили до знаменателя 20)=55/20-11/20=44/20=2 целых 4/20= 2 целых 1/5=2,2

Вас заинтересует