• Предмет: Математика
  • Автор: Juliauejx
  • Вопрос задан 8 лет назад

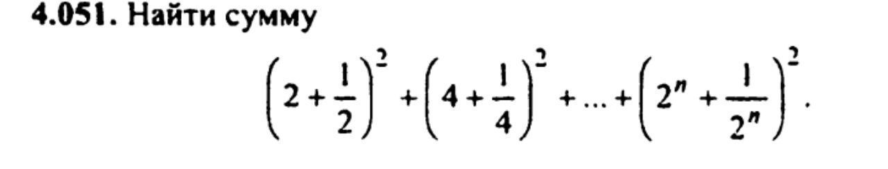
Срочно!!!Помогите пожалуйста!Надо найти сумму.Этот пример был в разделе геометрическая прогрессия!Помогите пжпжжпжп.Буду ооооочень благодарна

Приложения:

Ответы

Ответ дал: ruslank1460
0

= 4 + 1/4 + 2 + 16 + 1/16 + 2 + 64 + 1/64 + 2 + ,,, + 2²ⁿ + 1/2²ⁿ + 2 = 4 + 16 + 64 +...+ 4ⁿ + 1/4 + 1/16 + 1/64 +...+ 1/4ⁿ + 2 + 2 + 2 + ...+2 = (4(4ⁿ - 1))/(4-1) + (1/4(1/4ⁿ - 1))/(1/4 - 1) + 2n = (4(4ⁿ - 1))/3 - (1/4(1/4ⁿ - 1))/(3/4) + 2n = (4(4ⁿ - 1))/3 + (4ⁿ - 1)/(3·4ⁿ) + 2n = ((4ⁿ - 1)/3) · (4 + 1/4ⁿ) + 2n = ((4ⁿ - 1)/3) · ((4·4ⁿ + 1)/4ⁿ) + 2n = ((4ⁿ - 1)(4·4ⁿ + 1))/(3·4ⁿ) + 2n

Вас заинтересует