• Предмет: Математика
  • Автор: акакака1
  • Вопрос задан 8 лет назад

Срочно! сделайте 19 и 20

Приложения:

Ответы

Ответ дал: NNNLLL54
0

...............................................................................................................................................

Приложения:
Ответ дал: Пеппер
0

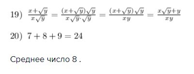
19. (х+√у)(х√у)=(√у(х+√у))(√у*(х√у)=(х√у+у)ху (ответ Е)

20. 24:3=8, ответ С; 7+8+9=24.

Приложения:
Ответ дал: bonackva60
0
https://znanija.com/task/29365284
Вас заинтересует