Ответы
Ответ дал:
0
Решение во вложении. Удачи!
Приложения:

Ответ дал:
0
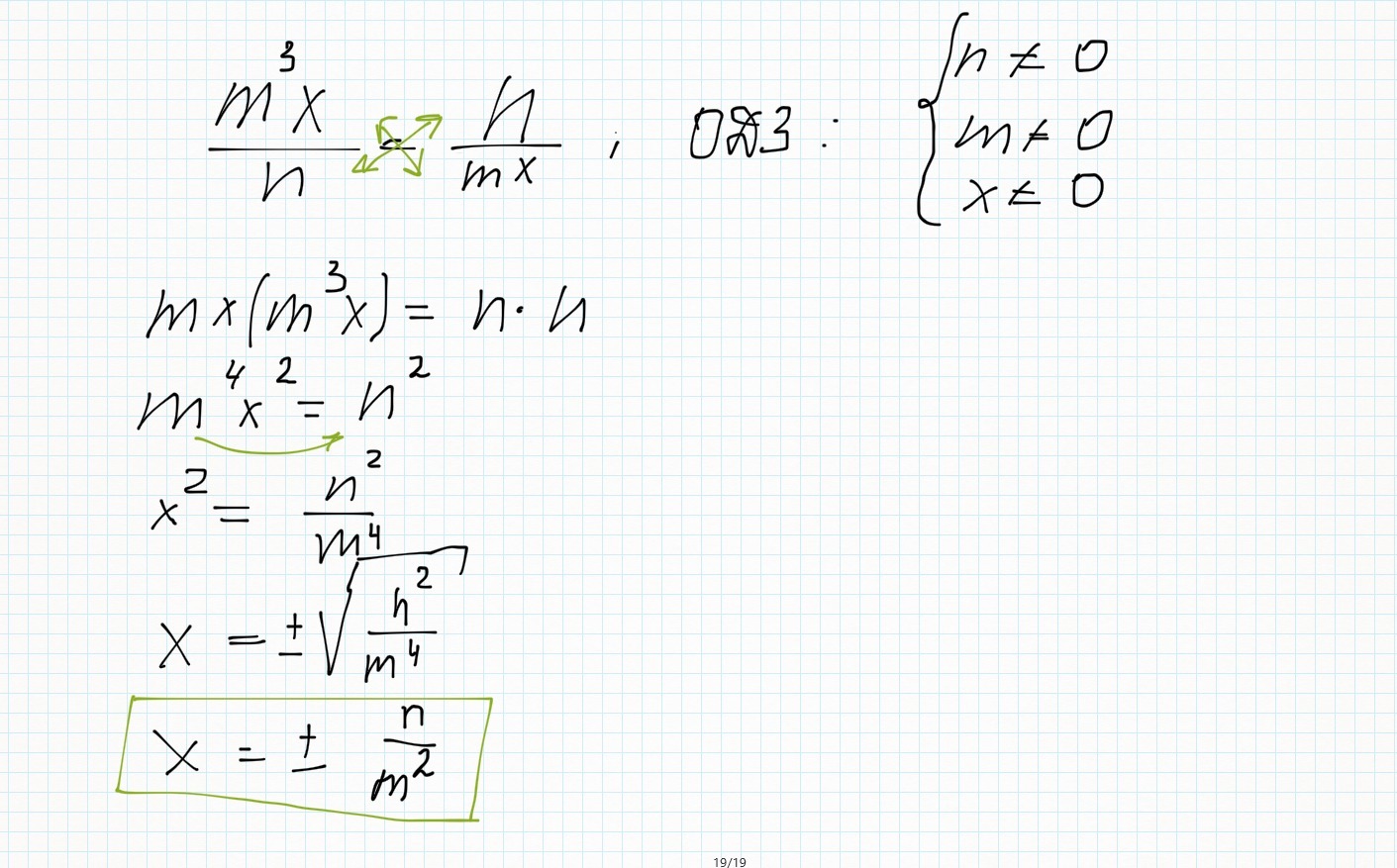
m³x/n=n/mx
m⁴x²=n²
x²=n²/m⁴
x=±n/m²
m⁴x²=n²
x²=n²/m⁴
x=±n/m²
Приложения:

Вас заинтересует
2 года назад
2 года назад
3 года назад
9 лет назад
9 лет назад