• Предмет: Геометрия
  • Автор: davidqgamer
  • Вопрос задан 8 лет назад

7, 8 ПОМОГИТЕ УМОЛЯЮ

Приложения:

Ответы

Ответ дал: ruslank1460
0

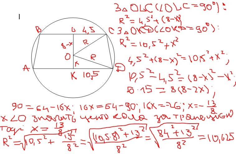
Розв'язок задач у вкладенні

Приложения:
Вас заинтересует