• Предмет: Математика
  • Автор: АнюточкаМурМур
  • Вопрос задан 8 лет назад

Умножьте дробь на число:

Приложения:

Ответы

Ответ дал: Milana0807
0
3/13*4=12/13
5/11*3=15/11
(Если там 18, то 5/18*3=15/18)
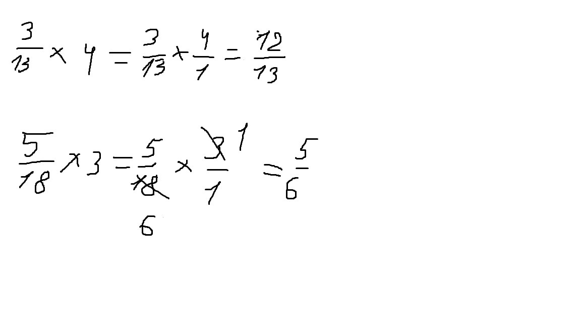
Ответ дал: vladalferov02
0

Вот решение,где зачеркнуты числа,там сокращение

Приложения:
Вас заинтересует