• Предмет: Алгебра
  • Автор: patrick9113
  • Вопрос задан 8 лет назад

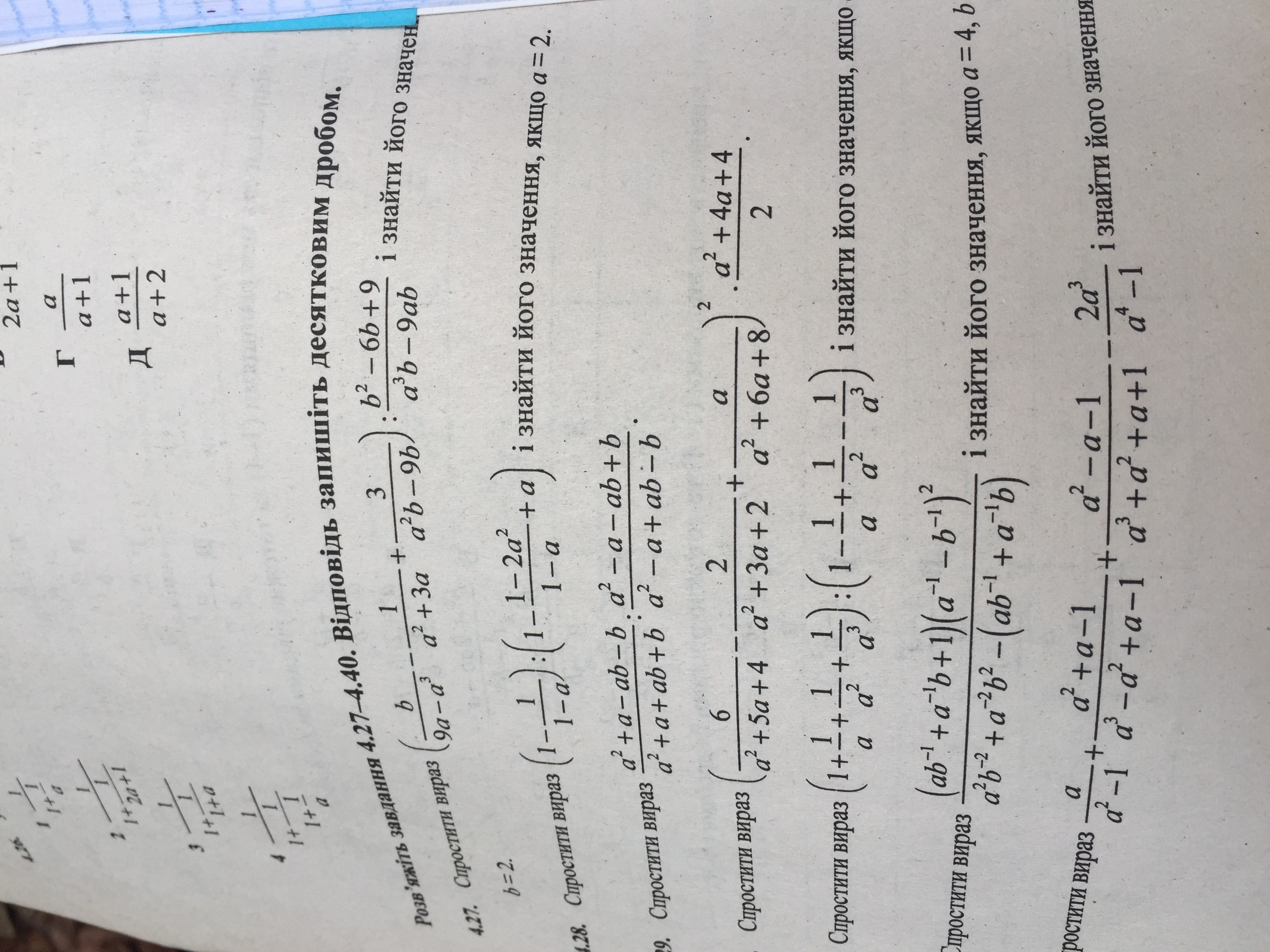
Помогиье, пожалуйста с 4.27 и 4.29♥️

Приложения:

Ответы

Ответ дал: kwonyyy
0

Креплю решение 4.29, на 4.27 тоже застряла т_т

Приложения:
Ответ дал: patrick9113
0
Благодарю♥️
Ответ дал: vicctoriyaa111pdlgq7
0

4.27 во вложении. осталось значение подставить

Приложения:
Ответ дал: patrick9113
0
Спасибо♥️
Вас заинтересует