Ответы
Ответ дал:
0
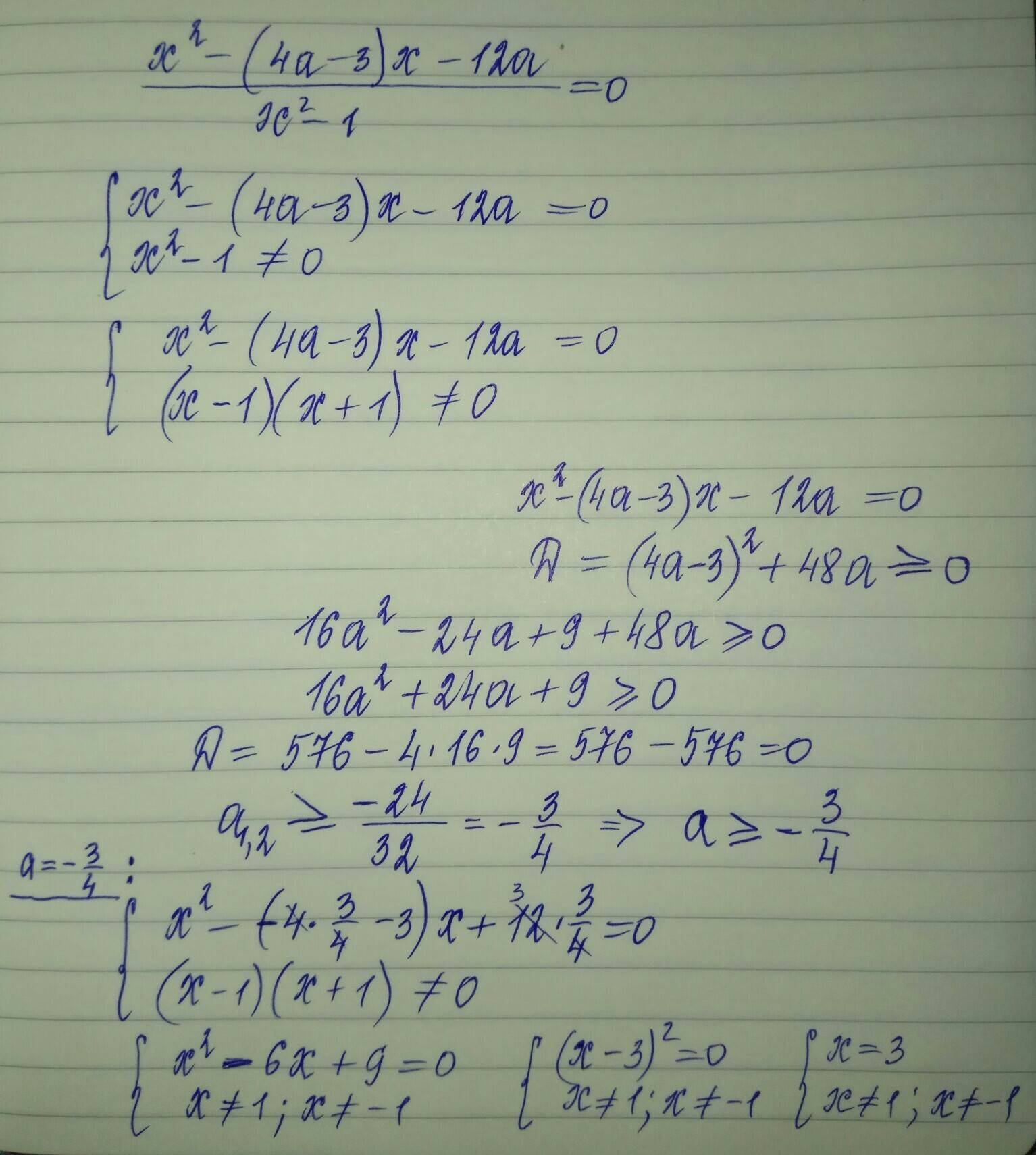
Ответ: при а >= -3/4, уравнение имеет решение.
При а=-3/4, х=3.
Решение расписано на фото.
При а=-3/4, х=3.
Решение расписано на фото.
Приложения:

Вас заинтересует
2 года назад
3 года назад
3 года назад
9 лет назад
9 лет назад
9 лет назад