Ответы
Ответ дал:
0
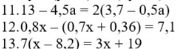
11)13-4,5a=2(3,7-0,5a)
13-4,5a=7,4-a
-4,5+a=7,4-13
-3,5a=-5,6
a=1,6
12)0,8x-(0,7x+0,36)=7,1
0,8x-0,7x-0,36=7,1
0,1x=7,1+0,36
0,1x=7,46
x=74,6
13)7(x-8,2)=3x+19
7x-57,4=3x+19
7x-3x=19+57,4
4x=76,4
x=19,1
13-4,5a=7,4-a
-4,5+a=7,4-13
-3,5a=-5,6
a=1,6
12)0,8x-(0,7x+0,36)=7,1
0,8x-0,7x-0,36=7,1
0,1x=7,1+0,36
0,1x=7,46
x=74,6
13)7(x-8,2)=3x+19
7x-57,4=3x+19
7x-3x=19+57,4
4x=76,4
x=19,1
Ответ дал:
0
11)13-4,5a=2(3,7-0,5a)
13-4,5a=7,4-a
-4,5+a=7,4-13
-3,5a=-5,6
a=1,6
12)0,8x-(0,7x+0,36)=7,1
0,8x-0,7x-0,36=7,1
0,1x=7,1+0,36
0,1x=7,46
x=74,6
13)7(x-8,2)=3x+19
7x-57,4=3x+19
7x-3x=19+57,4
4x=76,4
x=19,1
13-4,5a=7,4-a
-4,5+a=7,4-13
-3,5a=-5,6
a=1,6
12)0,8x-(0,7x+0,36)=7,1
0,8x-0,7x-0,36=7,1
0,1x=7,1+0,36
0,1x=7,46
x=74,6
13)7(x-8,2)=3x+19
7x-57,4=3x+19
7x-3x=19+57,4
4x=76,4
x=19,1
Ответ дал:
0
ghfdbkyj
Вас заинтересует
2 года назад
3 года назад
9 лет назад
9 лет назад
10 лет назад